ON7YD
Antennas for 136kHz
About this page :
The main object of this page is to provide
information. It has been deliberately kept simple, no fancy and flashy tricks,
in order to achieve maximum compatibility for the different browsers and to
allow fast downloading.
Any comments and/or suggestions are welcome at :
on7yd@qsl.net
last updated on 8 July 2004
Index
- Introduction
- Short vertical antennas
- Vertical monopole antenna
- Short vertical monopole
- Vertical antenna with capacitive toploading
- Umbrella antenna
- Capacitive toploading of single-tower antennas
- Spiral toploaded antenna
- Vertical antenna with inductive toploading
- Vertical antenna with capacitive and
inductive toploading
- Vertical antenna with tuned counterpoise
- Meander antenna
- Antenna with multiple vertical elements
- Using a non isolated antenna-tower as
LF-antenna
- Antennas with a long horizontal section
- Helical antenna
- Short vertical dipole
- Why a horizontal dipole is a rather
unefficient antenna on LF
- Safety
precautions
- Bringing a short vertical monopole to
resonance
- Loading coil
- Coil losses : the Q-factor
- Variometer
- Tapped coil
- Impedance matching
- Bandwidth considerations
- Efficiency of antenna systems on LF (short vertical
antennas)
- Antenna system
- Efficiency
- Antenna system efficiency, antenna directivity,
ERP, EIRP and EMRP
- Optimizing the antenna system efficiency
- Enviromental losses
- Ground loss
- Type (composition) of the soil
- Frequency
- Shape and dimensions of the antenna
- Radial system and ground rods
- Measuring ERP on LF
- Electric field / magnetic field & near
field / far field
- Calculated ERP versus ERP measurements
- How to measure ERP
- Small loop antennas
- Single turn small loop as transmitting
antenna
- Efficiency of a loop
- Enviromental losses of small loop
antennas
- Single turn loop versus multi turn loop
- Directivity and polarization of a small loop
antenna near ground
- Bringing a small loop antenna to
resonance
- Resonance capacitor
- Impedance matching
- Bandwidth considerations
- Other transmitting antennas
- Antennas for reception
- Software
- Appendices
- High power applications of toroidal core
coils
- About toroidal cores
- Designing a ferrite cored
transformer (by Jim Moritz, M0BMU)
- Designing an iron powder cored coil
- Acknowledgements
1.
Introduction
The main subject will be transmitting antennas
for 136kHz as this often is the most important part of a longwave amateur radio
station. The aim of the transmitting antenna is to radiate the power coming
from the transmitter.
The power radiated by any antenna is determined by 3
factors :
Example :
Assume we have an antenna with a radiation resistance of 10
, an antenna current
of 2 A and a gain of 4 (6dB). This antenna will radiate a power of 10 x
22 x 4 = 160 Watt.
The gain of an antenna is always given relative
to a reference antenna. Most common references are the 1/2 wave dipole and the
isotropic radiator. This last is a virtual antenna that has no directivity at
all, it radiates equally to all directions. In general the gain of any antenna
relative to a 1/2 wave dipole is given as dBd while the gain
relative to an isotropic radiator is given as dBi. Due to its
directivity a 1/2 wave dipole has a gain 1.64 (2.15dBi) relative to
a isotropic radiator.
At first sight the radiation resistance of an
antenna has no influence on the radiated power, as long as you match your
transmitter to this resistance. But unfortunately the radiation resistance is
not the only resistance that is consuming the transmitter power, there are also
the loss resistances. These losses occur within the antenna (+ the antenna
matching system) and in the environment of the antenna (ground, objects near
the antenna). On HF these loss resistances are often negligible as they are
rather small compared to the radiation resistance, but on longwave this is
certainly not the case. For most longwave antennas used by amateurs the
radiation resistance of the antenna is in the range of 10 to a few hundred
m
while loss resistances
are in the range of 30 to 150
. This means that, dependent on the antenna and its environment,
about 99% to 99.99% of the transmitter power is not radiated but absorbed in
the loss resistances.
The two most common transmitting antennas on
longwave are the short vertical monopole (Marconi antenna) and the small loop
antenna. The short vertical monopole is an electric antenna, it creates an
electric field 'on the spot' (near the antenna) while the magnetic field
is created 'on the fly'. Opposite to this the small loop is a magnetic
antenna, it creates a magnetic field 'on the spot' while the electric
field is created 'on the fly'.
As a result of this the main source
of losses for a short vertical monopole is in the environment (ground, trees,
buildings etc.) while for a small loop the major losses are within the antenna.
Therefore a small loop is less dependent on the environment for its
functionality.
But for both types of antennas the goal is to get the ratio
of radiation resistance versus loss resistances as large as possible. In
practice most amateurs achieve better results with short vertical monopoles,
only when environment losses are extremely high a small loop will be superior.
Remark : Throughout these pages the
terms ERP, EIRP, dBi and dBd will be used
frequently. If you are not familiar with these terms I would recommend to read
this first.
back to top of this page
2. Short
vertical antennas
2.1. Vertical monopole
antenna
Most radioamateurs are familiar with the quarter-wave vertical monopole
antenna, often also called a "Marconi antenna". It is a quarter wave
long, is fed against ground (eventually improved by a radial system) and has a
radiation resistance of 36
.
The dimensions of a quarter wave vertical antenna might be
suitable from the 40m band upward, some brave hams might even have this antenna
for 80m and 160m. But for 136kHz it would be over 500m (1500ft) high, without
doubt beyond the range of any ham. Thus at longwave there is no other way than
using a vertical monopole that is (very) much shorter than a quarter wave.
When a vertical monopole is less than a quarter wave (it's natural resonance) a
few things change :
The effect of the antenna length on the radiation resistance and antenna
gain can be seen on the first picture at the right.
So, in contradiction to what many believe, the antenna gain of a short vertical
monopole is only 0.4dB less that that of a fullsize quarter wave vertical (even
if the short monolope is only a fraction of the wavelength). Nevertheless the
performance of a short vertical monopole is -20dB to -40dB below that of a
quarter wave vertical, because the efficiency (ratio of radiation restistance
and loss resistances) rapidly decreases as the antenna becomes shorter.
Example :
1. A Quarter wave
vertical has a radiation resistance of 36
and a loss
resistance (groundloss) of 10
. The efficiency of
this antenna :
(36 / (36 + 10)) * 100% = 78.3% (or -1.1dB)
2. A short vertical monopole of 1% of the wavelength has a radiation
resistance of 0.04
,
while there is a groundloss of 50
and a loss in the
loading coil of 20
.
The efficiency of this antenna is :
(0.04 / (0.04 + 50 + 20)) * 100% = 0.057% (or -32.4dB)
As a result the quarter wave vertical will outrange the short vertical
monopole by 31.7dB (31.3dB efficiency + 0.4dB antenna gain).
The second picture shows "overall gain" (efficiency + antenna gain) of
an average antenna as a function of its length.
back to top of this page
2.2. Short vertical
monopole
Assume we have a short vertical monopole with a
height H and fed against
ground. If H is small compared to the
wavelength then :
The current distribution, that is different from
the sinusoidal distribution we are used to, can be explained as follows :
The antenna capitance is not located at one single point on the antenna, but is
distributed equally over the antenna. As the antenna current flows into the
antenna it gradually 'disappears' via the distributed antenna capacitance,
resulting in a linear decrease.
Another - and maybe more correct - way to look
at it is to compare a short vertical with a full size (quarter wave)
vertical.
The full size vertical has a sinusoidal current and voltage
distribution whith a 90 degrees phase shift between U and I. The short vertical
can been seen as just the end of a fullsize vertical, where the voltage
distribution is (almost) constant and the current distribution decreases
(almost) linear.
The radiation resistance of a short vertical monopole with a height H and at a
wavelength
is :
[1a]
For 136kHz this becomes :
[1b] (RAin m
and H in m)
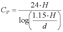
The capacitance of a vertical wire of a height H
and diameter d is :
[2a]
(CV in pF, H and d in m)
In most cases the simplified formula
CV = 6pF/m [2b] is accurate enough.
In order to get a maximum radiated power we need
a maximal current through the antenna. This can be done by compensating the
capacitive component with an inductive component (loading coil), or otherwise
said : bringing the antenna to resonance. Based on the formula for resonance
(Thomson formula) we can calculate the inductance we need (see the chapter
"Loading coil" for details).
:
Assume we have a 10m long
vertical wire (3mm diameter) with and an enviromental loss of 60
.
Based on
formula 1a the radiation resistance is calculated as 8.2m
, the antenna
capacitance, based on formula 2a is 67pF. To bring the antenna to resonace on
136kHz we will need a loading coil of 20.2mH. The reactance of the coil is
17.4k
, so if we
assume a Q of 300 then the coil-loss will be 58
. This brings the
total loss resistance to 118
.
If we put a
power of 100W into the antenna we will have an antena current of 0.92A,
resulting in 7.5mW radiated power and a voltage of 16kV over the loading
coil.
In the above example we calculated a radiated power of 7.5mW (0.92A into
8.2m
). To get the ERP
(Effective Radiated Power) we have to take the gain of the antenna into
account, for a short vertical monopole this is 2.6dBd. So the
calculated power in this case will be 13.7mW ERP.
back to top of this page
2.3. Vertical antenna with
capacitive toploading
The efficiency of a short vertical antenna can be improved by increasing the
radiation resistance. This is done my improving the current distribution over
the antenna, as the radiation resistance is proportional to the square of the
average current through the vertical section. For a short vertical monopole, as
described above, the average current is 50% of the current at the feeding
point. One way to improve the current distribution is to add capacitive
toploading to the vertical antenna.
The current distribution over the
antenna has still a linear decrease, but due to the fact that the minimum now
is at the end of the horizontal section the average current in the vertical
part is higher.
The capacitance of a horizontal wire with a length L, a
diameter d and at a height H is given by :
[3a] (
CH in pF, H, L and d in m)
In most cases the simplified formula
CH = 5pF/m [3b] is accurate enough.
The total antenna capacitance CA =
CV + CH. The antenna current at the top of the vertical
section is determined by the ratio of CH and CV (assuming
that the same amount of current 'disappears' via every pF) :
[4a]
Thus the average current through the vertical section
is :
[4b]
And the radiation resistance is proportional to the
square of the average current through the vertical section :
[5a]
for 136kHz this is :
[5b]
(RAin m
and H
in m)
This means that the radiation resistance can be
quadrupled by adequate capacitive toploading.
An additional benefit of
capacitive toploading is that the antenna capacitance can increase
significantly. Therefore the inductance (loading coil) needed will decrease,
resulting in lower losses in and lower voltages over the loading coil.
:
Assume we still have the 10m long vertical wire (3mm
diameter) and the enviromental loss of 60
of the previous example, but now we extend the antenna
with a 20m long horizontal topload wire (at 10m height).
The capacitance of
the vertical section will be 67pF (formula 2a) while the capacitance of the
topload will be 116pF (formula 4a), resulting in a total antenna capacitance of
183pF. The radiation resistance will be 21.9m
(formula 5a). The
loading coil must be 7.4mH, at a Q of 300 the loss in the coil will be 21
and the total loss
will be 81
.
If
we put a power of 100W into the antenna we will have an antenna current of
1.11A, resulting in 27mW radiated power and a voltage of 7kV over the loading
coil. Taking into account the gain of 2.6dBd the ERP will be 49mW,
this an overall 5.5dB improvement compared to the same antenna without
capacitive topload.
The gain that can be achieved by having a better
current distribution is 6dB, but due to the increased capacitance (and thus a
smaller loading coil needed) some dB extra gain can be won, as you can see in
the graph.
A vertical antenna with capacitive toploading can be
constructed in various configurations, besides the 'inverted-L' configuration
there are also the 'T' and 'umbrella' configurations that are frequently used.
In general any shape of capcitive topload will work, the goal should be to get
an many wire as possible as high in the air as possible. The topload wires can
be sloping (umbrella antenna), but this will cause a decrease in the radiation
resistance. As a rule of thumb can be said that sloping topload wires should
never come lower than 50% of the antenna height.
The amount of topload capacitance is often limited by
the space available. To get maximal topload capacitance on a limited space
parallel wires can be used. Practical results proved that capacitances upto
15pF/m can be achieved, while a single wire is about 5pF/m :
Capacitance of multiple topload wires
| Station |
number of wires |
Spacing |
Height above ground |
Capacitance |
| EI0CF |
4 |
*1m*4m*1m* 1) |
10m |
15pF/m |
| G3XDV |
3 |
all 0.5m - 1m (2) |
14m |
|
| G3AQC |
3 |
all 0. 45m |
13.5m |
12pF/m |
| ON7YD |
4 |
all 0.8m |
12.5m |
13pF/m |
(1) : spacing between outer wires is 1m,
between inner wires is 4m (total 6m)
(2) : spacing is 0.5m at one end and
1m at the other end
back to top of this page
2.4. Umbrella
antenna
For practical reasons many toploaded verticals have sloping topload wires.
These kind of antennas are called umbrella antennas. A sloping topload wire has
2 contradictory effects on the radiation resistance (RA) of the
antenna. One the one hand it increases the top capacitance, thus increasing
RA. But on the other hand it will introduce a 'downward current'
that cancels a part of the (upward) current through the vertical, thus
decreasing RA.
The influence of both effects depends of the
number of topload wires, their length and their sloping angle. John Sexton
(G4CNN) did develop a mathematical model for umbrella antennas with the goal to
optimize the parameters (number of wires, length and sloping angle) for a
maximum radiation resistance.
Detailed calculations how to optimize the
slope and length of the topload wires can be found here.
Assume an
umbrella antenna with a unity height (1) and n topload wires of a length L,
sloping under an angle ß. The topload wires will 'shield' the vertical
part over a length X = L*cos(ß).
The gain (in dB, relative to a
vertical without toploading) will be :
[6] (log = 10 based logaritm,
L and X relative to the unity height '1')
The graphs below give the relative gain of an umbrella antenna for
sloping angles of 30, 45 and 60 degrees - depending on the 'shielding length'
(X) and the number of tophat wires :
As expected higher sloping angles give the better results, but also note
that for a certain sloping angle many short tophat wires are more effective
than a few long.
The above formula and graphs assume that the tophat wires
do not affect each other. In practice this will not be true in the case of many
short tophat wires, the effective gain will be less than the calculated
one.
back to top of this page
2.5. Capacitive toploading of
single-tower antennas

In the previous chapter (umbrella antennas) an example
was given how a capacitive toploaded antenna can be built using a single
support tower. If the space to put up the antenna is even more limited there
are some alternative ways to provide your antenna of an efficient capacitive
toploading. The above pictures show one way to achieve this, as done by Werner
De Bondt (ON6ND). At the top of a grounded 12m tower there is a large isolated
cage that provides a high capacitance toploading. Additional experiments done
by ON6ND have shown that the antenna efficieny can be further improved by
placing (a part of) the toploading at the bottom of the isolated section.
Werner noticed a 1 S-point (6dB) improvement by doing so. Further there was no
difference noticed when the feeding line was replaced by a single wire.
back to top of this page
2.6. Spiral toploaded
antenna

Alan Melia (G3NYK) and Finbar O'Connor (EI0CF)
developed an efficient LF antenna on a limited space. The topload of the
antenna has both an inductive as capacitive component. The spiral part works
both inductive as capacitive while the piramidal tp hat provides additional
capacitive toploading. Despite the limited dimensions the antenna could be
brought to resonance on 136kHz with a relative small (2mH) loading coil.
A
complete description of this antenna can be found on G3NYK's
webpage.
back to top of this page
2.7. Vertical antenna with
inductive toploading
Another way to improve the current distribution over the antenna is to place to
loading coil at an elevated point (HL) of the antenna.
As the
voltage is built up over the loading coil, only the part of the antenna above
the coil wil be at high voltage. The voltage at the lower part of the antenna
is negligible so the antenna current will not 'disappear' via the capacitance
C1, only via C2. The antenna current below the loading
coil will remain at maximum value and the result is an improved average current
:
[7]
The radiation resistance of a vertical antenna with
elevated loading coil is :
[8a]
For 136kHz it is :
[8b]
(RA in m
)
Example :
Assume we have a 10m high vertical wire (3mm diameter)
and 60
enviromental
loss. If we place an elevated loading coil at 5m height the radiation
resistance will increase from 8.2m
to 18.5m
(resulting in a
theoretical gain of 3.5dB). But at 5m height we will need a loading coil of
40.4mH, at a Q = 300 the coil-loss will be 116
. This brings the
total loss to 176
.
If we put a power of 100W into the antenna we will have an
antenna current of 0.75A, resulting in 10.5mW radiated power and a voltage of
26kV over the loading coil. Taking into account the gain of 2.6dBd
the ERP will be 19.1mW, this only a 1.4dB improvement compared to the same
antenna without elevated loading coil.
As shown in the example, inductive toploading has also
a big disadvantage :
The loading coil has to be resonant to the antenna
capacitance of the upper part (C2) what means that the inductance
has to be larger as the coil is placed higher. A larger coil means also a
larger coil-loss and from a certain height the additional loss induced by the
larger coil cannot be compensated by the improved current distribution, as you
can see in the graph at the right. Apart from that the voltage over the loading
coil increases and stable mounting of an elevated loading coil creates also
mechanical problems.
back to top of this page
2.8. Vertical antenna with
capacitive and inductive toploading
The radiation resistance of a short vertical monopole with limited
capacitive toploading can be improved significantly by adding inductive
toploading (elevated loading coil).
But based on the improvement of the
current distribution, adding inductive toploading to an antenna with
sufficient capacitive toploading is not very efficient. In most
cases the theoretical gain is no more than 0.1 or 0.2dB. Practical experiments
by a number of amateurs however have shown that in some cases combined
capacitive / inductive toploading can lead to a significant gain (of up to
5dB).
More detailed information about combined capacitive / inductive
toploading can be found here.
back to top of this page
2.9. Vertical antenna with
tuned counterpoise
Pat Hawker describes in an article in
ELECTRONICS WORLD + WIRELESS WORLD (February 1990) a kind of umbrella
antenna with a tuned counterpoise. Both the antenna and the counterpoise are isolated
from the ground.
The antenna is tuned by the
loading coil (L1), an elevated loading coil can be used to improve
the current distribution. By adjusting L2 the counterpoise is tuned
to minimize ground loss. In practice L2 has to be tuned for maximal
signalstrength in the far field.
This type of antenna has been used
successfully on mediumwave with a gain upto 5dB measured by adding the tuned
counterpoise. To my knowledge this antenna has not been tested by amateurs on
136kHz, but it might be worth a try.
No references to calculate the value
of L2 are given, but the article refers to US
Patent no 3,742,511 and to IEEE Trans. on Broadcasting, June 1989,
pages 237-240 (download
it as zipped GIF file) .
back to top of this page
2.10. Meander
antenna
The performance of meander antennas for shortwave is described by Warnagiris
and Minardo in IEEE Trans. on Antennas and Propagation, December 1998, pages
1797-1801. They show that the radiation resistance of short electrical
antennas, such as a short vertical monopole, can be significantly increased by
using u number of folded elements. Experimental investigations on a 44cm high
meander antenna with 21 elements resulted in a resonance on 20.1MHz and an
impedance of 21.9
. For a
simple vertical monopole of the same length a radiation resistance of 0.34
can be expected. When scaled
to 136kHz this 0.029 wavelength antenna becomes 64m high and for the 21
elements over 1.3km (!) of wire would be needed. But, assuming 60
groundloss, this antenna
would perform almost 18dB better than a vertical monopole of the same
height.
A meander antenna can be built rather compact arround a grounded
tower.
The line-spacing has to be at least 20 times the wire diameter for
optimal performance. Further experiments have shown following Size Reduction
Factor (SRF) versus the number of lines (N) :
Size Reduction Factor
| SRF |
N |
antenna height |
wirelength |
| 0.6 |
3 |
329m |
987m |
| 0.3 |
9 |
164m |
1481m |
| 0.15 |
27 |
82m |
2221m |
| 0.075 |
81 |
41m |
3332m |
| 0.0375 |
243 |
20.5m |
4998m |
| 0.01875 |
729 |
10.3m |
7497m |
red =
extrapolated from experimental data (black)
For acceptable antenna heights (20m and less) the
number of elements and the wirelength needed are not very realistic. Using 3mm
Cu-wire (loss = 1
per
100m at 136kHz) the 20m version would have a 50
wire-loss, the 10m version even 75
. The weight of the wire
would be resp. 330kg and almost 500kg.
But a meander antenna with a limited
number of elements and tuned to resonance by a loading coil could be an
acceptable alternative antenna for 136kHz. But remember that a meander antenna
has many resonances at higher frequencies, so an adequate filtering of the
transmitter signal (harmonics !) will be necessary.
To my knowledge meander
antennas have not been used by amateurs on longwave so far.
back to top of this page
2.11. Antenna with multiple
vertical elements
The radiation resistance of a short vertical monopole can be significantly
improved by the use of multiple vertical elements. These elements are connected
through the capacitive topload wires and the antenna is fed through one of the
elements, while the others are connected to ground. The radiation resistance
will increase with the square of the number of elements, x4 for 2 elements, x9
for 3 elements etc...
If each of the elements has its own ground-network
this can reduce the total loss-resistance.
But this system has also a
disadvantage : as all the elements share the same capacitive topload the
capacitance of each individual element will decrease and larger loading coils
will be needed, resulting in additional coil-losses and a higher antenna
voltage.
back to top of this page
2.12. Using a non isolated
antenna tower as LF-antenna
A short vertical monopole normally has to be isolated
from ground at its base. But most antenna-towers are not isolated, for
mechanical and electrical safety reasons. Here are 2 possibilities shown how to
use a non isolated tower as vertical antenna for longwave :
back to top of this page
2.13. Antennas with a long
horizontal section
Based on the calculated current distribution
and coil-losses very little gain can be won by having a horizontal section that
exceeds the length of the vertical section by more than a factor 5. The only
advantage would be a decraase of the groundloss due to the larger 'footprint'
of the antenna (see 3.6.3).
But in practice
several hams achieved very good results using antennas with a very long
horizontal section and it is difficult to explain this results just by the
lower groundloss. OH1TN uses an
antenna with a horizontal section of about 500m, bringing the antenna to
resonance on 136kHz without inductive loading (sse picture below).
Despite the fact that the antenna is mainly horizontal, its polarization
is mainly vertical as long as the height of the antenna (compared to the
wavelength) is low and it is a monopole antenna (with ground as counterpart).
An example of a large horizontal antenna with vertical polarization is the DDRR
antenna.
back to top of this page
2.14. Helical
antenna
In
the helical antenna the loading coil (or a part of it) is incorporated in the
vertical section of the antenna. So with this antenna both capacitance and
inductance are distributed over the entire antenna. As the
antenna voltage builts up over the loading coil,
the antenna voltage increases with the height. This voltage increase results in
an improved current distribution, as in the lower
part of the antenna (where the voltage is low) less current will 'disappear'.
Without capacitive toploading the radiation resistance of a helical antenna
will be 1.54 times larger as for a 'straight' vertical of the same height, this
is a gain of 1.9dB.
When capacitive toploading is added the advantage of a
helical antenna will be less, for 2 reasons :
An additional problem is that it is not so easy to
built a mechanical stable helical antenna . The only amateur who - to my
knowledge - used a helical antenna with succes was Toni Baertschi (HB9ASB),
until the antenna was destroyed in a storm (december 1999).
back to top of this page
2.15. Short vertical
dipole
So far I am not aware of any short vertical dipole used by
hams or lowfers on LF, but it could be an alternative for the short vertical
monopole.
* Short dipole in free space
The radiation
resistance of a short dipole with a length H and at a wavelength
, in free space, is
:
[9a]
For 136kHz it becomes :
[9b]
(RA in m
and
H in m)
The antenna gain of a short dipole in free space is
1.76dBi
* Short vertical dipole close to ground
Antenna simulation shows that close to ground the radiation resistance of a
short vertical dipole doubles (versus the free space value) and that the
antenna gain increases to 4.77dBi. This means that both radiation
resistance and antenna gain would be identical to these of a short vertical
monopole of the same size. But at the same time it can be expected that the
enviromental losses will increase, due to the high antenna voltages close to
ground.
Jim Moritz (M0BMU) comments a short vertical dipole close to ground
as follows :
A short vertical dipole in free space
would have a symmetrical current distribution, maximum in the middle and zero
at the ends. Placing it close to a ground plane would modify this because
displacement current would flow between the ground plane and the lower half of
the dipole, increasing the current towards the bottom end of the dipole making
the current distribution more even in the lower part of the dipole. The current
distribution in the case where the lower end of the dipole was very close to
the ground would be very similar to that of a short monopole with an elevated
feed point - if the lower end of the dipole actually was in contact with the
ground plane, it would be a monopole of course.
You could increase the
capacitance by adding end loading to the dipole - if the lower end of the
dipole were close to the ground, in effect you would have a top-loaded vertical
with an elevated feed driven against a counterpoise.
A practical difficulty
would be caused by the asymmetrical nature of the dipole - it would be
necessary to have some way of adjusting the voltages applied to the upper and
lower legs of the dipole to get equal current in both legs, and zero net
current on the feed line, in order to achieve the proper dipole operation.
Since the lower end of the dipole would be a high voltage point, and close to
the ground, there would be increased dielectric losses in the ground under the
antenna, which would tend to reduce any advantage of this antenna
configuration.
back to top of this page
2.16. Why a horizontal dipole is a rather inefficient
antenna on LF
As in most cases height is the limiting factor to
built large (and efficient) LF antennas it is tempting to built a large
horizontal antenna. Although antennas with a large horizontal section have
proved to be quite usefull on LF (see " Antennas with a
long horizontal section ") a horizontal dipole is a rather inefficient
antenna on LF.
If an antenna is placed above (a perfect) ground a "mirror
image" is created with the ground as mirror plane. For a vertical antenna this
causes no problem as both the real antenna and its mirror image are in phase.
But for a horizontal antenna the mirror image is in counterphase, so if the
antenna is close to ground the mirror image will cancel out most of the signal
(see picture at the right).
In practice this results in a decreasing
radiation resistance as the antenna comes closer to ground. At very low heights
(in wavelengths !) even the radiation resistance of a full size half wave
dipole is only a fraction of an
. On 136kHz any amateur
sized antenna is at low height above ground and one would need a full size
dipole at at least 50m height to achieve a radiation resistance of 1
. (see graphs below).
back to top of this page
2.17. Safety
precautions
Be
aware that - apart from the typical safety precautions one should always take
in regard with the mechanical stability of antennas - there is a possible
hazard that is typical for short vertical antennas : high
voltages.
As mentioned before most short vertical antennas need a
rather large loading coil to be brought to resonance. The voltage built up over
this coil can be some tens kV, in combination with a moderate to high power TX
this voltage (or better said : the current caused by this voltage) can be
harmfull or even lethal.
Example :
Assume a
10m high vertical antenna with a capacitance of 70pF. This antenna will need a
19mH loading coil, that has a reactance of over 16k
. Further assume a
loss resistance of 80
(40
loss in the loading coil + 40
ground loss) and a
TX power of 400W, this will cause an antenna voltage of 36kV and an antenna
current of 2.2A.
Fortunately voltage and current are almost 90 degrees
phase shifted and touching a high voltage part of the antenna will cause a
breakdown of the antenna voltage, but it can still cause serious burnings or
worse.
An interesting fact is that a larger antenna (that has a larger
capacitance and thus requires a smaller loading coil) will have a lower antenna
voltage. A small backyard antenna can be a much higher potentional danger than
a monster antenna.
In any case one should take the nessecary precautions to
avoid that high voltage parts of the antenna can be touched. Since the voltage
builts up over the loading coil, placing this coil at a certain hight can be a
simple and effective solution. But keep in mind that even at the low voltage
side (before the loading coil) the voltage can be up to a few 100V, so even
there one should only use sufficient isolated wire.

Another effect of the high antenna
voltage can be the corona effect. This is an electric discharge resulting from
the ionization of the air and occurs mainly at sharp ends and edges of the
antenna. The corona effect should be avoided as it is a loss of power and, even
worse, the arcing eventualy can start a fire.
The corona effect is rather
seldom reported by amateurs on LF, from the information I received the antenna
voltage was in excess of 30kV in all cases. The corona effect can be surpressed
by avoiding any sharp ends or edges and mounting corona rings at the ends of
the antenna.
back to top of this page
2.18 Bringing a short
vertical monopole to resonance
2.18.1. Loading coil
If you
will connect you TX directly to a short vertical monopole you will hardly
transmit any signal (and get a vey bad SWR), This is due to the mainly
capacitive impedance of several 1000
. To bring a short
vertical monopole to resonance this capactive component has to be compensated
by the inductance of the loading coil.
The inductance L (in Henry) can be
calculated using the Thomson formula :
[10a] (f =
frequency in Hz and C = antenna capacitance in F)
For 136kHz it is :
[10b] (L
in mH and C in pF)
Example :
If
we want to bring an antenna with a capacitance of 300pF to resonance at 137kHz
then we will need a loading coil of 4.5mH.
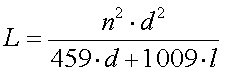
The inductance L (in µH) of a single layer
coil is :
[11]
(n = number of turns, d = coil diameter in mm and l = coil length in mm)
For the typical sizes of LF loading coils formula
11 will give the inductance within a few %, but in fact the inductance will
also be dependent of the wire diameter (b) and wire spacing (a).
Formula 11
is valid for wire spacing = wire diameter. If this is not the case you will
have to add a
L to the
inductance calculated with formula 11 :
[12]
(a = wire spacing in mm, b = wire diameter in mm, n = number of turns and d =
coil diameter in mm)
Be aware that
L can be negative (if
a < b), thus the inductance will be less that the one calculated with
formula 11.
Not only the inductance but also the Q-factor of the coil will
be affected by the ratio of wire diameter and wire spacing. This is due to
losses caused by the proximity effect.
Experiments have shown that best Q is achieved when the wire diameter and the
wire spacing are equal (a = b). Small (or no) wire spacing will result in a
relative small coil (least wire needed), but with a realtive low Q. If the wire
spacing is very large then there will be little losses caused by the proximity
effect but you will need much more wire to achieve a certain inductance causing
more additional loss than you gained from eliminating the proximity effect.
Example :
Assume we have a coil
made of 100 turns of 2mm diameter wire with 2mm spacing. The coil diameter is
300mm.
100 turns of 2mm wire with 2mm spacing make a 400mm long coil. Using
formula 11 the inductance is 1.66mH. If we leave the coil length and diameter
unchanged but use 1mm diameter wire (and 3mm spacing) then the inductance will
increase by 0.12mH (formula 12) and will be 1.78mH. If instead 3mm wire (and
1mm spacing) is used, the inductance will decrease by 0.01mH and will be
1.65mH.
back to top of this page
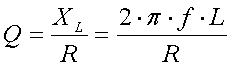
2.18.2. Coil losses : the
Q-factor
As any other coil the loading coil will also have certain
losses that will reduce the overall efficiency of the antenna system. The
Q-factor is the ratio of the inductive reactance (XL) and the loss
resistance (R) :
[13]
(XL and R in
, f = frequency in Hz and L = coil inductance in H)
Example :
A
3mH coil with a loss resistance of 8
will have a Q of 320
at 136kHz
The loss resistance of the coil is caused by :
On LF in most cases these last losses can be
ignored if some care is taken by selecting the form material and the location
of the loading coil. The Ohmic losses are determined by the resistance
of the coil. Due to 2 effects the restistance of the coil will be frequency
dependent and often will be considerably larger than the DC resistance :
a. Skin effect
As the frequency get higher
the current through a wire will tend to flow mainly throught the outer layer,
with little or no current through the centre of the wire. Since only a part of
the wire surface is used the AC resistance will be larger than the DC
resistance and will increase as the frequency increases.
The thickness of
this outer layer (d) is :
[14] (d =
skin layer in mm, K = material dependent constant and f = frequency in kHz)
| |
Copper |
Aluminium |
Messing |
Silver |
Gold |
| K |
2.08 |
2.77 |
4.45 |
2.02 |
2.37 |
| conductivity (S/m) |
58x106 |
33x106 |
13x106 |
62x106 |
45x106 |
This means that for 136kHz the skin layer is 0.18mm
for copper and 0.24mm for aluminium. Although messing has a thick skin layer
(0.38mm at 136kHz) it not suitable due to its poor conductivity. The most
economic solution is the use of copper wire, but at a wire diameter of 3mm and
above aluminium is only slightly worse and can give you a considerable lighter
coil (it has only 30% of the weight of copper).
Once the wire diameter
exceeds twice the skin depht the wire has 'wasted space' inside. Thus it
is more efficient to use 2 (or more) thin wires in parallel than a single thick
wire. Such HF-wire consisting a large number of parallel (isolated) wires is
called litz wire. It is a very good choise to built a coil as a litz
wire will only have a fraction of the loss of a single wire of the same
diameter, but unfortunately it is also rather expensive.
Be aware that in
multi-stranded wire the individual parallel wires are not isolated, so this is
not litz wire !
b. Proximity
effect
When an AC current is flowing through 2 wires that are close
together the currents will tend to flow at maximum distance from each other,
causing an effect similar to the skin effect. This will cause an additional
increase of the loss resistance. This effect can be minimized by inceasing the
wire spacing. But as the wire spacing is increased one will need mure turns
(and thus more wire) to achieve the same inductance. So what is won by reducing
the proximity effect is lost again (or even worse). Experiments have shown that
the lowest loss is achieved when the wire spacing equals the wire diameter.
Special coil winding techniques have been
developed to keep the turns of a coil as far as possible apart without
increasing the coil dimension (and thus needing more wire). One of these
techniques is basket weaving where the coil former is made of an odd
number of rods and the wire is 'weaved' between them. That way high-Q
coils can be made, even 'flat' coils and variometers, as shown
below.


Remark : the proximity effect as shown here will
happen if the currents flow in the same direction, as always will be the case
in a coil. If the currents are flowing in opposite directions the proximity
effect will be similar, except that the currents now will tend to flow close to
each other.
c. Optimizing coil dimensions
Apart from
the wire material and diameter also the ratio of coil diameter / coil height
and the ratio of wire spacing / wire diameter will affect the Q-factor. Best
Q-factor can be expected for a coil diameter / coil height ratio of ±
1.4 and a wire spacing / wire diameter ratio of ± 1.

The dimensions of an optimized coil (coil diameter
/ coil height = 1.4 and wire spacing / wire diameter = 1) are :
[15]
(n = number of turns, L = inductance in mH, d = wire diameter in mm, D = coil
diameter in mm and l = coil length in mm)
Example :
Assume we want to make a 2mH coil optimized for best Q-factor, using 3mm
diameter wire. Based on formula 15 we will need 66 turns on a coil of 39.3cm
long and a diameter of 55cm.
d. Pyramid wound coils (by Niels Jorgensen,
OZ8NJ)
A special technique called "Bank" or "Pyramid" winding to contruct
compact and high-Q loading coils for 136kHz. This method was used to build
coils and variometers for LF / MF marine and aero transmitters.
The advantages of the method are obvious :
The drawback is that the proximity losses will
increase, but the overall effect is positive.
Although 4 and 5 layer coils
of this type do exist practical difficulties to keep the windings in place will
often limit Pyramid winding to 2 layers.
back to top of this page
2.18.3. Variometer

In practice the loading coil will have to be adjustable in order
to correct for the day-to-day variations of the antenna capacitance (due to
changing weather conditions). These variations are rather small and can be
corrected by minor variation of the loading coil (few %). But in many cases
amateurs will experiment with different types of antennas and therefore will
need a loading coil that can be adjusted over a larger range such as from 2 to
5mH (250% !).
For relative small variation of the loading coil inductance
(up to 50%) a variometer can be used. This is a combination of 2 coils
put in series, where a smaller coil (L2) is rotating inside the
larger coil (L2). This way the inductance can vary from about
L1-L2 to L1+L2. In theory a
variometer could vary from 0 to 2*L (for L1 = L2 = L).
But L2 has to rotate inside L1 and thus has to be
smaller. Further will a too large L2 have a negative effect on the
Q-factor of the variometer. As a result the practical limitation of the
variometer range is 50%.

Instead of a small coil rotating inside a larger
coil one can also use a small coil sliding in/out of a larger coil. But this
design is not so popular as the mechanical construction is almost as
complicated for a rotating variometer while variation of L is only half and the
Q-factor varies strongly with the position of the sliding coil.
A high-Q
variometer can also be built using 2 flat basket weaved coils, as shown here.
An alternative way to built a variometer is by
sliding a ferrite rod in a coil. Care has to be taken that the rod material is
not saturated and that the rod is not heating too much. If a small rod of the
right material is used inide a large coil a variation up to 20% can be achieved
without saturation or heating of the rod, even at a TX power of several
100W.
back to top of this page
2.18.4. Tapped coil
For larger
variations of L a tapped loading coil has to be used. Taps at different
turns of the coil allow variation of L of several 100%, but these variation
will be in steps. Therefore the combination of a tapped coil and a variometer
is often used, either as a large tapped coil in series with a small variometer
or as a 'all-in-one' solution where the large coil of the variometer is
tapped.
2.18.5. Impedance matching
Bringing a short vertical monopole to resonance will ensure that any reactive
component in the antenna impedance is compensated. Depending on the
enviromental losses and loss in the loading coil the impedance will be in the
range of 20 to 200
. This
impedance has to be matched to the tramsmitter impedance, in most cases 50
.
Although in may cases
the antenna impedance will be in the range of 30 to 70
and thus the SWR without
matching would be acceptable at first sight (less than 2:1) it might still be
worth to match the antenna since :
As matching an LF antenna is not much different from
matching any other antenna just a brief overview of some matching techniques is
given, with LF specific remarks.
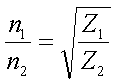
Transformer
Impedance matching can be done using a transformer, either a isolating or a
non-isolating one (auto-transformer) :
[16]
(Z1 ... Z2 = impedances , n1 ... n2
= turns)
Example :
We
want to match a 80
antenna to our 50
transmitter. That means that the ratio of the turns has to be 1.265. With
n1 = 19 and n2 = 15 we come close to this value.
To allow matching to different impedances one (or
both) sides of the transformer can be tapped. In most cases a toroid core will
be used, although a ferrite rod might be used to. Care has te be taken in the
choice of the core material, most materials that do fine on HF will either have
too much loss or will require too much turns to be suitable on LF. Most
manufacurers produce core material that is suitable for LF, but this can be
rather hard to find. A low cost solution is to recuperate the "double-U"
core that can be found in the HV-section of a TV set or monitor. Most of these
cores can be used in low and medium power applications on LF (up to few 100W),
but it is recommended to do regular checks on efficiency and overheating in the
beginning.
The number of turns should be large enough, the inductance of
the coils should be at least twice (and preferable 5 times) the impedances that
have to be matched.
One of the advantages of a transformer is that it will
work rather wideband and that it will still work stable at high tranformation
ratios. Further the transformer provides a DC shortcircuit to ground and will
ensure that there is no static charging on the antenna. In addition a
transformer (not auto-transformer) provides a galvanic separation between the
TX (RX) and antenna.
For more details on the designing of toroidal core
transformers and an overview of suitable materials see here.
L-C network
A
simple L-C network can be used for impedance transformation :
[17a]
and
[17b]
(L = inductance in H, C =
capacitance in F, Zhigh ... Zlow = impedances in
and f = frequency in
Hz)
For a frequency of 136kHz L and C can be calculated as :
[17c]
and
[17d]
(L = inductance in
µH, C = capacitance in nF and Zhigh ... Zlow =
impedances in
)
Example :
We want to match a 80
antenna to our 50
transmitter. Based
on formula 17 we will need a coil of 45.3µH and a capacitor of
11.3nF.
Be aware that - in contradiction to a transformer - a L-C network is not
widebanded. As the impedance transformation ratio increases the bandwidth will
decrease. In order to have a stable network at 136kHz (ie. bandwidth of at
least 2.1kHz) the transformation ratio should not exceed 5. For matching to
50
this will not be a
problem (the antenna impedance can be in the range of 10 to 250
). But one should take care
if using a low impedance TX, in that case a cascade of 2 L-C networks should be
prefered.
Further one should choose the right capacitors. Most ceramic and
metalfilm capacitors will have too much loss on LF. Capacitors that can be used
are :
- silver-mica : very good and available upto 47nF/500V, but expensive
- polystyrene : good, but values larger than 1nF hard to find at higher
voltages
- MKC : good and up to 100nF/1kV, but not so easy to find
- polypropylene : good, cheap and available up to 100nF/500V
Be aware that - using high power - voltages up to several 100V can come
across the capacitors, if you cannot find the high voltage types you can
aventually use lower voltage types in series.
The inductances you will need
are probably in the range of 20-200µH. At these values it is still
possible to use air-coils, although they might be a bit bulky. If you use
toroid cores ensure that the material is suitable for high-power and high-Q
operation at LF, a lot of cores that do fine in (wideband) transformers will
not perform well in L-C networks.
A L-C network will not provide a DC path
to ground. So if you are using this kind of impedance matching it is
recommended to provide an additional discharge path to ground (eg. a 10k
/ 5W resistor from the
antenna side of the network to ground).
Resonance transformation
The impedance matching can also be done at the loading coil. Therefore you will
need a second winding or a tap at the cold end of the loading coil.
Since
for a short vertical monopole the reactive (capacitive) part of the antenna
impedance is much larger than the resistive part (XCa >>
Ra), the ratio of the turns is given by :
[18]
(L = loading coil inductance
in H, f = frequency in Hz, n1 ... n1 = turns
RA = antenna resistance in
and ZTX =
transmitter impedance in
)
The above formula assumes perfect coupling between the coil windings.
For most loading coils this is not the case, so the exact ratio of
n1/n2 will have to be determided by experiment. But the
formula will still give a good value to start with.
Example :
We have an antenna with a
(loss) resistance of 80
that is brought to
resonance at 137kHz by a 3mH loading coil (200 turns). In order to match it to
our 50
transmitter
we will need a ratio of turns of 40.83 (formula 18). Since the loading has 200
turn we will need a secondary winding with 5 turns or tap the loading coil at 5
windings from the cold end.
The advantage of resonance transformation is that it provides an
all-in-one solution for matching and bringing the antenna to resonance.
But at the same time this is also a disadvantage as changing the resonance will
also affect the impedance matching and vice versa. With the practical values
for antenna resistance and capacitance the ratio of turns will be rather large
(50-200) and thus the impedance matching can be rather critical.
If you use
a secondary winding this should always be placed at the cold (grounded) end of
the loading coil, in order to avoid flash over (and all the destructive
consequences) between the loading coil and the secondary winding.
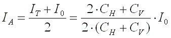
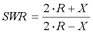
2.18.4. Bandwidth considerations
The 136kHz ham band is only 2.1kHz wide (135.7-137.8kHz), so at first sight one
would not expect bandwidth problems with the antenna. But keep in mind that
2.1kHz is 1.5% of 136kHz, so the relative bandwidth is about the same as the
(European) 7MHz band and even more than the (European) 144MHz band. In addition
antennas are very short, what decreases their bandwidth. So in some cases it
can be required to retune the antenna when changing frequency.
A
short vertical monopole can be seen as capacitance (CA) in series with a resistance (RA). To bring the antenna to resonance a
loading coil (L) is needed and the antenna is fed by a transmitter that can be
seen as a voltage source (U) in series with a
resistor (RI) where the resistor
represents the transmitter impedance. If we assume that the transmitter is
matched to the antenna (SWR 1:1) at resonance then RI is equal to
RA.
The bandwidth of a short vertical monopole will depend on
the antenna capacitance and resistance. A small capacitance will reduce the
bandwidth and so will a low resistance (you cannot have it all ...). It is not
wise to intentionally increase the (loss) resistance as this will reduce the
antenna efficiency, but another advantage of a high capacitance (= large)
antenna is an increased bandwidth.
The main concern is the current
reduction and SWR increase then moving away from the resonance frequency. A
short vertical monopole can be seen as a damped series resonance circuit, where
C = antenna capacitance, L = loading coil inductance and R = loss resistance.
At the resonance frequency L and C will cancel out each other and the impedance
will be pure resistive (R). It is assumed that R is matched to the transmitter
impedance (mostly 50
).
Moving away from the resonance frequency will result in a
reactive component is series with R, decreasing the antenna current and
increasing the SWR. If the frequency offset from resonance is relatively small
(few % only = anything within the 136kHz ham band) then the value of the
reactive component can be given as :
[19]
(X = reactance in
,
fo = resonance frequency in Hz,
f = frequency offset
from fo in Hz, Xo = reactance of C (or L) at resonance in
, C = antenna
capacitance in F and L = loading coil inductance in H)
Example :
Assume
we have an antenna with a capacitance of 300pF and a resistance of 60
. The antenna is
brought to resonance at 137kHz.
At the lower band edge (135.7kHz) the
reactive component X will be 74
, at the upper band
edge (137.8kHz) it will be 45.5
.
Antenna current
The reactive component (X)
of the antenna impedance will decrease the antenna current and thus the ERP. X
can be calculated from formula 17.
We assume that the antenna is matched at
resonance (X = 0, SWR = 1:1). If we move away from the resonance frequency the
antenna will have a certain reactive component X and the antenna current will
decrease to :
[20]
(Irel = antenna current relative to the current at resonance, R =
antenna resistance in
and X = antenna reactance in
)
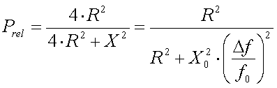
Since the radiated power is proportional to the
square of the antenna current it will be :
[21]
(Prel = radiated power relative to the power at resonance, R =
antenna resistance in
,
X = antenna reactance in
, , Xo = untuned antenna reactance in
,
f = frequency offset
from fo in Hz and f = resonance frequency in Hz)
Example :
Assume
we have an antenna with a capacitance of 300pF and a resistance of 60
. The antenna is
brought to resonance at 137kHz and matched to the TX impedance at this
frequency. The antenna current will decrease to 85% of the maximum current at
the lower band edge (135.7kHz) and to 94% at the upper band edge (137.8kHz).
The radiated power will decrease to 72% (-1.4dB) at the lower band edge and 87%
(-0.6dB) at the upper band edge.
The other way arround, if a certain power loss
(Ploss) is acceptable the bandwidth (B) of the antenna system is
:
[22a]
(B = bandwidth in Hz, Ploss = maximum acceptable power loss relative
to the power at resonance, R = antenna resistance in
, X = antenna reactance
in
, Xo =
untuned antenna reactance in
and f = resonance
frequency in Hz)
For 136kHz the bandwidth can be calculated from the
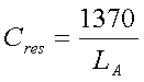
maximum acceptable power loss, antenna resistance and antenna capacitance (or
loading coil inductance) as :
[22b]
(B = bandwidth in Hz, Ploss = maximum acceptable power loss relative
to the power at resonance, R = antenna resistance in
, C = antenna
capacitance in pF and L = loading coil inductance in mH)
Example :
Assume
we have an antenna with a capacitance of 300pF and a resistance of 60
. The antenna is
brought to resonance at 137kHz and matched to the TX impedance at this
frequency. If the acceptable power loss is 0.5dB then Ploss = 0.11.
Based on formula 14 the antenna bandwidth will be 1.5kHz.
Standing Wave Ratio (SWR)
Apart from
decrease of the antenna current and radiated power a reactive component X will
also increase the SWR.
Assuming that the SWR at resonance (X=0) is 1:1, a
reactance X in series with R will increase the SWR to :
[23a] (R =
resistance in
and X =
reactance in
)
If the frequency offset is small, and thus the SWR is
not too high, the formula can be simplified to :
[23b] (R =
antenna resistance in
and X = antenna reactance in
)
Formula 23b will have an accuracy of 10% or better if
the outcome is an SWR of less than 3:1. For higher SWR it is recommended to use
formula 23a.
For 136kHz the SWR can be directy calculated from
f, R and C (or L) as
:
[23c]
(
f = frequency offset
from fo in Hz, R = antenna resistance in
, C = antenna
capacitance in pF and L = loading coil inductance in mH)
If the frequency offset is small, and thus the SWR is
not too high, the formula can be simplified to :
[23d]
(
f = frequency offset
from fo in Hz, R = antenna resistance in
, C = antenna
capacitance in pF and L = loading coil inductance in mH)
Formula 23d will have an accuracy of 10% or better if
the outcome is an SWR of less than 3:1, otherwise it is recommended to use
formula 23c.
Example :
Assume
we have an antenna with a capacitance of 300pF and a resistance of 60
. The antenna is
brought to resonance at 137kHz and matched to the TX impedance at this
frequency.
If we use the simplified formula (23d) the SWR at the lower band
edge (135.7kHz) is calculated as 4.2:1, at the upper band edge as 2.2:1. Since
the SWR at the lower band edge is over 3:1 we have to recalculate is with
formula 23c, the outcome is 3.2:1. For the higher band edge the outcome of
formula 23c is 2.1:1.
As shown by this example the simplified formulas (23b
and 23d) produce accetable results for an SWR less than 3:1. At high SWR they
are not accurate, but this does not matter too much as an SWR of 3:1 or more
just tells you that the antenna has to be better matched anyway.
So in most
practical cases you can stick to the simplified formulas.
The bandwidth of an antenna, based on the maximum
acceptable SWR, is :
[24a]
(B = bandwidth in Hz, R = antenna resistance in
, Xo =
untuned antenna reactance in
and fo =
resonance frequency in Hz)
For 136kHz the antenna bandwidth can be calculated
from the acceptable SWR, antenna resistance and antenna capacitance (or loading
coil inductance) as :
[24b]
(B = bandwidth in Hz, R = antenna resistance in
, C = antenna
capacitance in pF and L = loading coil inductance in mH)
Example :
Assume
we have an antenna with a capacitance of 300pF and a resistance of 60
. The antenna is
brought to resonance at 137kHz and matched to the TX impedance at this
frequency. If a SWR up to 2:1 is acceptable the antenna bandwidth is
1.5kHz.
Relationship between SWR and power loss
If
the SWR is known (measured) the power loss can be calculated as :
[25a]
(Ploss = power loss relative to power at SWR 1:1)
The loss in dB is :
[25b]
(Ploss = power loss relative to power at SWR 1:1 and log = 10
based logaritm)
Example :
A SWR
of 1.7:1 will result in a 7% or 0.3dB power loss.
back to top of this page
3. Efficiency of
antenna systems on LF (short vertical antennas)
3.1. Antenna
system
Under the term antenna system I mean more than
just the antenna itself. It includes all surrounding parts that affect the
radiation of the transmitter power : the transmission lines, matching devices
and even enviroment.
back to top of this page
3.2.
Efficiency
If an antenna is fed with a certain power it will
radiate a part of that power. The remaining part is dissipated 'uselessly', in
most cases converted to heat in or arround the antenna. Simplified one can say
that the transmitter feeds its power into 2 resistors, the radiation resistance
(RA) and the loss resistance (RL).
The efficiency (n)
of an antenna is :
[26]
On HF the efficiency of most antenna systems is very
high, 90% or more. The most important sources of loss are skin effect in the
antenna wires and dissipation in the transmission line (coax cable). On VHF and
higher frequencies these last can become very important.
On LF the
situation is completely different, efficiencies of most antennas used by hams
are in the range of 0.01 to 1%. The source of these high losses is dependent on
the type of antenna. For electrical antennas the major losses will be mainly in
the enviroment and the loading coil. For transmitting the efficiency of the
antenna system will directly affect the amount of radiated power and thus is
very important. But for receiving on LF it is mainly the ratio between wanted
signal and unwanted signals (noise, QRM) that determines the quality of the
antenna system. Therfore the efficiency is rather unimportant in a receiving
antenna system.
back to top of this page
3.3. Antenna system
efficiency, antenna directivity, ERP, EIRP and EMRP
There is
often a confusion between the terms efficiency and directivity or
gain. While the efficiency is determined by the ratio of the transmitter
power that is radiated, the directivity (often also called gain) is determined
by the shape of radiation pattern. Even the term directivity is often only
associated with directional antennas as Yagi's, Quads etc... But in practice
any antenna has a certain gain, unless it radiates equally in all directions
and under all angles. This 'gainless' antenna (that does not exist) is called a
isotropic radiator and is taken as reference for the gain of other antennas
(then the gain is given in dBi).
A 1/2 wave dipole has a gain of
2.15dBi and is often also taken as reference (then the gain is given
in dBd).
Apart from the unchangable propagation parameters the
signalstrength of a certain station on a certain frequency depends on the
transmitter output power, the directivity of the antenna and the efficiency of
the antenna system. These 3 parameters combined determine the radiated
power, given in Watt. Depending on the reference antenna there is :
Despite the fact that a short vertical antenna has a
omnidirectional radiation pattern in the horizontal plane, it has a gain of
4.78dBi or 2.62dBd due to its directivity in the vertical
plane. This gain is almost independent of the antenna height, as long as it it
short compared to the wavelength (don't be fooled by the term short, at
136kHz it means 100m or less).
As the result of the different reference
antennas EMRP will always be 2.62dB above ERP and 4.78dB above EIRP while ERP
is always 2.17dB above EIRP.
Example :
Assume
we feed a short vertical antenna with a radiation resistance of 0.04
and a loss
resistance of 60
with a power of 200W. The efficiency of the antenna system is 0.067% or -31.8dB
(0.04/60). This means that from the 200W transmitter power there will be 133mW
radiated (EMRP). As the gain of a short vertical is 2.62dBd (x 1.83)
the ERP is 244mW. This means that the antenna system and transmitter as
described here will produce the same signal strength as a power of 244mW sent
into a perfect 1/2 wave dipole. The EIRP of this station will be 400mW
back to top of this page
3.4. Optimizing the antenna
system efficiency
In order to improve the ERP of a LF station
one can either increase the transmitter power or improve the antenna system
efficiency. Although some dB's can be won by brute power the practical
limit of increasing the transmitter power is often reached at 1-2kW. Any
further improvement has to be done by optimizing the effeciency of the antenna
system. This means increasing the radiation resistance of the antenna and/or
decreasing the loss resistance.
The radiation resistance can be increased
by making the antenna higher and adding capacitive and/or inductive toploading.
A more complicated option is to implement multiple vertical elements.
The
two most important components of the loss resistance are the losses in the
loading coil and the ground/enviromental loss. The coil loss can be reduced by
improving the coil's Q but indirectly also the capacitive topload will affect
the coil loss, as for a larger antenna capacitance a smaller loading coil is
needed. Depending on the value and Q of the loading coil, in most cases its
loss resistance will be in the range of 5 to 20
.
The major component of the loss resistance is
almost always the enviromental loss. It of often just called ground
loss, although this last is only a part of the enviromental loss. The
enviromantal loss is dependent of many factors such as soil type, objects near
the antenna and even the shape and size of the antenna. In most cases it will
be in the range of 30 to 150
.
back to top of this page
3.5. Enviromental
losses

A short vertical antenna is capacitive coupled to its surrounding
(the ground, trees, buildings, etc...). All of these surrounding objects also
have a certain resistance that contributes to the enviromental loss of the
antenna system. The RF current that is fed into the antenna seeks its way back
via these capactive coupled objects and power is disipated in the resistances
that these objects have.
The picture shows a simplified model : a T-antenna
with a nearby tree. The antenna has capacitive coupling to the tree
(CT) and to the ground (CG). Each of this 2 capacitances
will form a return-path for the antenna current.
Example :
Assume
that CT is 300pF and CG is 150pF. Further assume that the
loss resistance of the tree (RT) is 200
and the loss
resistance of the ground (RG) is 50
.Finaly we assume
that the antenna voltage is 5kV. The electrical model of this antenna system is
shown right of the picture. Each return-path is represented by a capacitor in
series with a resistor and we can calculate the impedance of each return-path :
for a frequency of 136kHz the path via the tree is 3.9k
and the path via the
ground is 7.8k
. With
an antenna voltage of 5kV this means that there is a current of 1.28A via the
tree and a current of 0.64A via the ground.
Based on the values of
CT, CG, RT and RG the total
capacitance (CX) and enviromental loss resistance (RX)
can be calculated : 450pF and 94
. At first glance it
might look strange that RX is larger than RG. But this is
due to the fact that in this example the capacitive coupling between the
antenna and the tree (CT) is much larger than the capacitive
coupling between antenna and ground (CG) and therefore RT
contributes much more to RX than RG does. Notice that
about 2/3 of the total antenna current is flowing back via CT and
RT.
The presence of objects such as trees and buildings
near the antenna will have several effects :
The increase of the enviromental loss resistance and
decrease of the radiation resistance has a negative effect on the efficiency of
the antenna system. The increased antenna capacitance has a positive effect, as
you will need a smaller loading coil, but by no means it will compensate the
negative effects.
back to top of this page
3.6. Ground
loss
On 'its way back' to the feeding point the antenna current
flows (partly) through the ground. Since the soil is a rather poor conductor a
loss resistance will be created.
The value of this loss resistance depends
on :
back to top of this page
3.6.1. Type (composition) of the soil
The ground loss is very dependent on the composition of the soil and is inverse
related to the conductivity of the soil (the higher the conductivity the lesser
the loss). Soil conductivity can be measured, but the results of these
measurements should be taken with some caution for several reasons :
Typical soil conductivity :
| Soil type |
Conductivity (mS/m) |
| salt water |
1000 |
| fresh water |
1 |
| wet soil |
1 - 10 |
| dry soil |
0.01 - 0.1 |
| meadow |
0.5 |
| loam |
8 - 20 |
| marsh |
30 - 60 |
| clay |
500 |
Soil conductivity can be improved by salting the soil,
but due to the ecological impact this is not recommended (in many countries it
is unlawfull). Also most fertilizers will improve the conductivity of the soil.
Gypsum (calcium sulphate) is one of the best suited fertilizers, as it is
relatively save to use and dissolves slowly (lasts a long time). Often (but not
always) wet soil has a higher conductivity than dry soil. On LF the use of salt
or excessive amounts of fertilizers will have little or no effect as this will
only improve the conductivity in the upper layer of the soil while the LF
signal penetrates deep into the ground. But longer periods of rain will wet the
soil deep enough to affect the ground loss.
The signal radiated by the
antenna penetrates in the ground. The deeper the signal penetrates the larger
the ground loss will be. This penetration depth is inverse proportional to the
square root of the of the soil conductivity. If the soil conductivity S is
known the conduction depth D can be calculated (for 136kHz only) :
[27] (D in m and S in
mS/m)
back to top of this page
3.6.2. Frequency
The penetration depth of the signal in the
ground is not only dependent of the soil conductivity but also of the
frequency. In the LF and lower HF region (30kHz - 3MHz) the penetration depth
is proportional to the square root of the wavelength (or otherwise said :
inverse proportional to the square root of the frequency).
Based on the
frequency F and the soil conductivity S the penetration depth D can be
calculated :
[28] (F in Hz, S in S/m
and D in m)
In most cases (and on 136kHz) the penetration depth will
be between 40 and 150 metre, depending on the soil type. On salt water it will
be only 1.5m.
Based on the above formula one could assume that the loss
resistance will decrease with the square root of the frequency. But this will
only be true if no other losses than ground loss are involved and if the soil
has a uniform structure down to several tens (or even hunderds) metre deep. In
practice the frequency dependency of the loss resistance will be different on
any other location and might even change with the dimensions of the antenna.
The first graph shows the results of the loss measurements done by M0BMU, ZL2CA
and PA0SE on frequencies between 100 and 300kHz. The measurement data were
fitted to a R = K1/FK2
function.
Other interesting measurements were done by Finbar O'Connor
(EI0CF) and Alan Melia (G3NYK) who measured the loss resistance for different
antenna configurations (at the QTH of EI0CF). These measurements show that even
changing the antenna configuration can change the frequency dependency of the
loss resistance, as the second graph shows.
back to top of this page
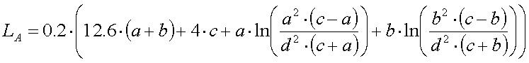
3.6.3. Shape and dimensions of the
antenna
Increasing height of a vertical antenna will increase the
radiation resistance and thus the efficiency. But also increasing the topload
will improve the efficiency. Apart from the fact that a larger topload creates
a better current distribution several hams have also noticed that the loss
resistance can significantly decrease when the topload covers a larger
area.
Laurie Mayhead (G3AQC) has significantly improved his
station by experimenting with different configurations of the topload and
developed the "Footprint theory". Read his comments :
I started out with a 3 wire Marconi "T" antenna. This
had a 30m top and a 15m vertical section, spacing between the top wires was
0.5m. I increased the spacing to 0.7m with no measurable difference in antenna
current. The ground system was quite modest so I buried several hundred metres
of wire with 10 earth rods at the ends of these radial wires. There was still
very little increase in current, so I ran a 100m wire into the salt water and
another 100m wire out to my 4 square array which has about 100 radials and a
further 20 ground rods. Still no better. I was getting about 1.8A antenna
current at the start and less than 2A at the finish. I measured 120
total loss resistance.
Then I decided to change the top loading, although analysis with Eznec
indicated no improvement. So the 3 top wires became a single wire not quite 3
times as long. There was no great change in capacitance (no change in the
loading coil), but the current was now over 2.2A and the measured resistance
80
. Next I extended
the top wires to 150m in a zig zag configuration because I didn't have the room
to go in a straight line. I then got 3A and about 40
loss.Small improvements
to my loading coil result in about 3.2A now.
I think that there may have
been a slight improvement because the aditional wire is further from the trees
but I believe that the majority of the improvement is due to change in "current
density" in the ground under the antenna. I call this my "Footprint theory".
Basically its as if the antenna was a shower head and the ground a big bath
with lots of outlets. Take the case of a basic vertical with no top load. The
longer the vertical the higher the shower head and thus more outlets covered by
the spray of water from the shower.Since each outlet can only get rid of a
certain amount of water the more that are covered the more water gets away, the
analogy is the lower the resistance! With an inverted-L or T ant the top wires
are like several shower heads spaced out along the wire. So the longer the wire
the more outlets recieving water.So its possible to bend the wire back on
itself so long as the parts dont get too close. Alan Melia (G3NYK) commented
that he visualised the fringing fields of a stripline over a conducting
plane,he surmised that the effective width of the spray might be of the order
of half the height of the wire. This would indicate that for maximum efficiency
the normal parrallel top wires would need to be spaced by a distance equal to
the height of the wires. I don't think that this is too far wrong.
In a
recent mail to the reflector about the RUGBY 16kHz antenna it was mentioned
that the original installation consisted of several multi wire cages,but that
these were later replaced by a network of wires covering all the available
ground area. This tends to support my Footprint theory and I would really like
to find a reference to this work in the literature.
back to top of this page
3.6.4. Radial system and ground
rods
As mentioned before the antenna current 'returns' via the soil
to the feeding point of the antenna. By adding a radial system and/or ground
rod(s) the ground loss can be reduced.
The radial system contains a number
of wires on or in the soil. As a general rule buried radials of bare wire are
superior to radials on the ground or buried isolated radials. Burried radials
should be at least 15cm (6 inch) deep in the soil. Although blank copper
radials can be used, galvanized iron radials are cheaper and will be less
affected by corrosion. The additional loss of iron radials (difference in
conductivity between iron and copper) is almost always insignificant compared
to the other losses.
Regarding the number of radials and their length the
rule is simple : the more and the longer, the better. But there are some
practical limits, once you have put a certain length of radials in the soils
further extension of the radial system will only result in a marginal reduction
of the ground loss.
In general the efficiency of a radial system is based
on :


Best result are achieved when the radials are equally
distributed over the area below the antenna (see left picture). Placing 2
radials too close is not very effective and will hardly bring any improvement
over a single radial. Depending on the soil conductivity, radials need to be
spaced at least 2m to 10m for optimal effect. When using many radials an
optimized layout can reduce the ammount of wire needed (and the work to bury
the radials) without loosing efficiency (see right picture).
In addition to
radials, ground rods can reduce the ground loss. These rods can be located at
the feeding point of the antenna or at the end of the radials, eventually also
somewhere 'half way' the radials. Due to their relative small length it is
essential that ground rods are blank metal. The longer (deeper) the ground rods
are, the better. Getting the rods into the ground can be hard labour if you do
it using a sledge hammer and brute force. If you don't have too much rock in
the soil there is an easier way :
Use 1 inch galvanized iron tubing used for
plumbing and often sold in practical 3m lengths. Connect your garden hose to
one end of the tube and let the water flow trough the tubing. Hold the tube
vertical on the soil, the water will wash the soil away and the tube will
gently sink into the soil. Be aware that the tube can keep sinking into the
soil even if you shut the water off, so it might be nessecary to secure the
tube for some days to avoid a 'China syndrome'.
As so many things will influence the efficiency of a
radial system (with or without ground rods) it is very difficult to predict how
many radials and/or ground rods will give an optimal result in a particular
case. The best way is to start with a limited number of radials / ground rods
and gradually increase the ground system while measuring the loss resistance.
That way you will find the point where further extension gives little or no
improvement.
If you have problems to get long ground rods into the soil :
one long rod can be replaced by some shorter rods, keeping the total length the
same. In order to have maximum efficiency all rods should be separated by a
distance that is at least their length (if possible twice their length).
I
have found some result of research on the effect of the radials on the antenna
efficiency in the long wave range. But this was in regard of commercial
stations, where an efficiency of 80% was aimed. For a soil conductivity of 2mS,
a wavelength of 2000m (150kHz) and an antenna length of less than 50m (170ft)
the optimal length of a radial was found as 150m (500ft) and the optimal number
of radials is 120. But I am afraid that only very few hams will have the
possibilty to install such a radial system.
back to top of this page
4. Measuring ERP on
LF
4.1. Electric field /
magnetic field & near field / far field
Despite the fact
that some antennas are called electric antennas (eg. Marconi antenna)
while others are called magnetic antennas (eg. small loop), any antenna
will create both an electric and magnetic field.
Close to the antenna an electric antenna will have a strong electric field and
a weak magnetic field. Moving away from the antenna the magnetic field will
become stronger (relative to the electric field) and from a certain distance on
the ratio between both fields will become constant. A magnetic antenna will
have strong magnetic field and weak electric field near the antenna, but
further away the electric field will become relatively stronger until the ratio
both field again becomes constant. At this point both fields form together the
electromagnetic field, they are coupled and cannot exist independently from
each other.
Based on the above we can determine the :
Near field
: area close to the antenna. The electric and magnetic fields are not coupled
and the radio of their strength depends on the type of antenna and the distance
from the antenna.
Far field : area at sufficiant distance from the
antenna. The electric and magnetic fields are coupled and at a constant
ratio.
Another way to look at it is to assume that any antenna will generate 2 kinds
of fields, the induced field (that is
dominant near the antenna) and the radiated
field (that is dominant at a sufficiant distance). The induced field
is much stronger at the antenna but declines much faster than the radiated
field. The induced field just stores energy in the space arround the antenna
(similar as a capacitor can store energy in an electric field or an inductor
can store energy in a magnetic field) while the radiated field really radiates
energy.
At a distance of about 0.16 wavelengths both fields will be equal
and some sources let the far field start from here. But in practice it is
recommended to respect a distance of at least 0.5 wavelengths for accurate
fieldstrength measurements.
At a sufficiant distance from the antenna both
fields will be in opposite polarization (so if the electric field is vertical the magnetic field will be horizontal), in phase and
their ratio is determined by the free space impedance (377
). This means that one can
determine the magnetic field if the electric field is known and vice versa, so
it is of no importance wether the measurements are done with a small whip or a
loop (ferrite rod).
back to top of this page
4.2. Calculated ERP
versus ERP measurements
A few hams have actually measured their
ERP, the results are in the table below :
|
Call |
Antenna |
QTH |
Distance |
Measured ERP |
Calculated ERP |
Difference |
No. meas. |
|
PA0SE |
Umbrella (18m high, 2 topwires of 20m sloping to resp.
14m / 10m) |
? |
5.8km |
95mW |
313mW |
-5.2dB |
1 |
|
M0BMU |
Inv-L (8m high, 40m long) |
? |
1km - 6km |
76mW |
146mW |
-2.8dB |
123 |
|
M0BMU |
Umbrella (17.5m high, 2 topwires each 20m
long) |
? |
1km - 6km |
263mW |
331mW |
-1.0dB |
130 |
|
G3AQC |
Inv-L (14m high, 150m long) |
Antenna surrounded by trees |
3km - 9km |
49mW |
113mW |
-3.6dB |
3 |
|
SM6PXJ |
Umbrella (20m high, 4 topwires of 20-25m) |
On hill, no obstacles |
3km - 10km |
370mW |
720mW |
-2.9dB |
9 |
It is remarkable that in all cases the measured ERP
is below the calculated ERP, differences going from 1 to more than 5dB. In the
fall of 2001 Jim Moritz (M0BMU) has done over 200 ERP measurements at distances
of a few 100m up to 8km from the antenna. In addition Jim has measured the ERP
of 2 antennas subsequently placed at the same location, a 8m high inverted-L
and a 17.5m high umbrella (inverted-V) antenna. These measurements show that
the measured ERP is relatively constant from a distance of 1km upward, so the
origin of the extra loss is in the direct environement of the antenna. Further
the 17.5m high antenna seems to suffer less from this loss than the 8.5m high
antenna, this may indicate that this extra loss is caused by objects near to
the antenna and that this loss is dependent of the radio of the antenna height
versus the dimensions of these objects (thus a bigger antenna suffering less
from this loss).
Finaly the measurements confirm that the distance to the
antenna has to be at least 1km (+/- 0.5 wavelenght), if possible at 2km (+/- 1
wavelength) or more, in order to get meaningfull results :
|
Distance |
Average measured ERP |
Standard deviation |
No. mesaurements |
|
0km - 1km |
-8.1dB |
2.5dB |
12 |
|
1km - 2km |
-12.1dB |
1.4dB |
14 |
|
2km - 3km |
-11.1dB |
1.1dB |
27 |
|
3km - 4km |
-11.4dB |
1.0dB |
22 |
|
4km - 5km |
-11.2dB |
1.1dB |
24 |
|
5km - 6km |
-11.2dB |
0.6dB |
32 |
|
|
|
|
|
|
more than 2km |
-11.2dB |
0.9dB |
109 |
|
more than 4km |
-11.2dB |
0.8dB |
60 |
back to top of this page
4.3. How to measure
ERP
The ERP is determined by measuring the fieldstrength E at a
known distance d from the antenna :
[29]
(PEIRP in W, E in mV/m and d in km)
Remember that you need to multiply the EIRP by 1.64
(or add 2.15dB) to get the ERP.
Measuring ERP is not very complicated, but one should
keep a few things in mind :
For practical reasons a small loop or ferrite rod
antenna is best suited for ERP measurements. First of all a magnetic antenna is
less sensible to the environement (compared to a small whip) and also it is
easier to calibrate. The calibration is done by creating a known magnetic
field, using a pair of Helmholtz coils (see picture). Be aware that is in the
combination of antenna and receiver that has to be calibrated.
A detailed procedure how to perform fieldstrength
measurements is described by Dick Rollema (PA0SE), have a look here. It includes the
construction of a simple measurement receiver, the pair of Helmholtz coils and
the calibration procedure.
More interesting reading on fieldstrength
measurements on LF, by Christer Andersson (SM6PXJ), can be found
here.
back to top of this page
5. Small loop
antennas
5.1. Single turn small
loop as transmitting antenna
In this chapter the small loop
antenna will be discussed as a transmitting antenna. For receiving-only small
loop antennas I refer to chapter 7. For simplicity we
will start with a single turn loop.
Assume we have a single turn loop antenna with an
area A. If A is small compared to the wavelength then :
- The antenna will act as an inductance (LA) in series with the radiation resistance
(RA) and the loss resistance (RL)
- The antenna voltage (U) will decrease
linear over the entire loop
- The antenna current is constant through the entire loop
As for any other small antenna the ERP is mainly determined by the ratio
of the radiation resistance to the loss resistance (apart from the TX power of
course). Only in second order the antenna directivity (gain) will play a role.
So the basic rule "the bigger the better" is also valid for small
loops.
The radiation resistance RA of a single turn small loop
antenna with an area A and at a wavelength
is :
[30a]
For 136kHz this is :
[30b] (RA in µ
and A in m2)
The radiation resistance depends on the loop area, not on the loop
shape. This means that a 20m high and 20m long loop will have the same
radiation resistance as a 8m high and 50m long loop (both are
400m2). But the 20m x 20m loop will require only 80m wire while the
8m x 50m loop needs 116m. As a result copper losses in the square loop (20x20)
will be 45% less than these in the rectangular loop (8x50).
Although a
square loop will have a better efficiency than a rectangular loop with the same
area (and a circular loop would even be better than a square), practical
limitations will often make a rectangular loop the best solution.
The inductance of a loop depends on the shape,
dimensions and wire diameter :
[31a]
(LA = loop inductance in µH, P = loop perimeter
(circumreference) in m, A = loop area in m2, d = wire diameter in mm
and ln = natural logaritm)
(This formula was derived by Claudio Girardi
(IN3OTD) from a general formula for the inductance of a single turn loop
proposed by Bashenoff in 1928. The accuracy is within a few % for the most
common loop shapes.)
A more specific formula for rectangular loops
derived by Alexander Yurkov (RA9MB) is :
[31b]
(LA = loop inductance in µH, a / b = height / length of the
loop in m, d = wire diameter in mm, ln = natural logaritm and
)
The 3 main components of the loss resistance
(RL) are :
The wire loss depends on the length, diameter
and composition of the loop wire. Due to the skin-effect it often is better to
use several thin wires in parallel than a single thick wire. For those who can
afford it litz-wire is the best choise.
Since a small loop is inductive the
matching network to bring the antenna to resonance (and eventually match it to
50
) is capacitive.
Choosing the right types, the Q-factor of the capacitors can be very high (up
to 1000 and more) and thus the loss in the matching network can be kept low.
But keep in mind that the radiation resistance of a loop is in the µ
range, so even a few m
of loss can cause a
significant degradation of the antenna efficiency.
Even though a small loop
antenna is much less sensitive to the enviroment than a short vertical antenna
the enviromental loss is still important. The best way to reduce this loss low
is to keep all wire as far away as possible from the ground and surrounding
objects.
back to top of this page
5.2. Efficiency of a
loop
The efficiency of an antenna is determined by the ratio of
the radiation resistance (RA) to the loss restistance
(RL) :
[32]
For a small loop antenna the efficiency will be very
low, typical far less than 1%. So by measuring the RF resistance of a small
loop you will be able to determine the loss restistance. The radiation
resistance can be calculated using formula 30 and thus the efficiency can be
determined.
Example
:
Assume you have a rectangular loop of 15m high and 30m long. This loop
has an area of 450m2 and a perimeter of 90m. Based on formula 30 the
radiation resistance is 270µ
. Further assume that
the AC resistance of the loop wire is 0.5
(based on copper
wire of 5mm diameter), the loss in the matching device is 0.1
and the enviromental
loss is 1.5
. The
total loss resistance is 0.5 + 0.1 + 1.5 = 2.1
. With a radiation
resistance of 270µ
the efficiency will
be 0.013% or -39dB.
A giant loop of 25m high and 100m long, using 10mm
diameter copper wire, will have an efficiency of -31dB or 0.07% (0.008
radiation resistance
versus 11
loss).
back to top of this page
5.3. Enviromental losses of
small loop antennas
under
construction
back to top of this page
5.4. Single turn loop
versus multi turn loop
under
construction
back to top of this page

5.5. Directivity and polarization of a
small loop antenna
Directivity
In contradiction to a
vertical antenna the small loop antenna is not omnidirectional in the
horizontal plane. It has a kind of 8-shaped horizontal radiation pattern with a
3dB opening angle of 90°. The nulls are in theory infinite if the loop
would be completely insensitive to the electric field. But in practice most
transmitting loops are not shielded and thus will pick up some of the electric
field. As a result practical values for the loop nulls are -20 to -30dB.
Keep in mind that the maxima of the horizontal radiation pattern are on the
plane of the loop while the minima are orthogonal to the loop plane. As long as
the loop dimensions do not exceed a wavelength the radiation pattern does not
depend on the loop size.
The gain of a small loop antenna is
1.76dBi or -0.39dBd. Dispite the fact that a loop antenna
has some horizontal directivity its gain is less than that of a short vertical
antenna (4.77dBi or 2.62dBd). This is caused by the fact
that a short vertical antenna has more directivity in the vertical plane.
Example :
Assume
a rectangular loop of 15 by 30m as described in the previous example. The total
loss resistance of this loop is 2.1
, while the radiation
resistance is 270µ
. If we connect a
100W TX (and perform perfect impedance matching) the antenna current will be
6.9A and the radiated power thus will 13 milli-Watt. The EIRP is 19mW, the ERP
is 12mW
The giant loop of 25 by 100m had a Rloss of 11
and a
Rrad of 0.008
. Putting 100W into
this will will cause an Iant of 3A and a Prad of 73
milli-Watt. In this case the EIRP is 109mW, the ERP is 66mW.
Polarization
A full size loop antenna in the vertical plane
can be horizontal or vertical polarized (see picture at the right). This is
because the current distribution over the antenna is not uniform.
At LF
however the antenna dimensions are small (compared to the wavelength). As a
consequence the current is constant over the entire antenna, what means that
the polarization of a small loop antenna must be independent of the location of
the feeding point.
One way to approach this is to assume that a small loop
antenna acts similar to a coil : the current is constant thoughout the
coil/loop and the voltage is built up over the coil/loop. For a coil it is
known that it generates a magnetic field in right angles to the plane of the
winding(s). Thus for a vertical oriented small loop the magnetic field is
horizontal. Further we know that the electric field of an antenna must be
orthogonal to the magnetic field, thus the electric field is vertical. Since
the antenna polarization is always reffering to the plane of the electric field
a small loop antenna - in the vertical plane - will always be vertical
polarized, regardless of where it is fed.
back to top of this page
5.6. Bringing a small loop
antenna to resonance
5.6.1. Resonance capacitor
A small loop antenna can be seen
as an inductance (LA)in series with a resistor (RA). The
inductance depends on the loop dimemsions (see here) while the resistance in mainly determined by
the losses.
The antenna is brought to resonance by a series capacitor
(Cres in F) :
[33a]
(LA = loop
inductance in H and f = frequency in Hz)
For 136kHz Cres can be calculated as :
[33b]
(Cres =
resonance capacitor in nF and LA = loop inductance in µH)
At resonance the inductive and capacitive reactances will cancel out
each other and the resulting impedance will be resistive and equal to
RA.
back to top of this page
5.6.2. Impedance matching
Once the loop is brought to resonance the impedance is resistive but probably
still different from the transmitter impedance. A typical loop resistance is in
the range of 0.5 to 5
while the TX impedance often is 50
, so we will have rather high transformation ratios (1/10 to 1/100,
whereas a typical transformation ratio for a short vertical monopole is only in
the order of 1/1 to 1/3).
Impedance matching can either be done using a
transformer or using a variant on the L-C network (in fact we will need a C-C
network).
Transformer
Impedance matching can be done using a transformer, either a isolating or a
non-isolating one (auto-transformer) :
[34] (Z1 ... Z2 = impedances ,
n1 ... n2 = turns)
Example :
We want to match a 1.5
antenna to our 50
transmitter. That
means that the ratio of the turns has to be 5.77. With n1 = 23 and
n2 = 4 we come close to this value.
Details on impedance matching with a transformer
were given when the matching of short vertical monopoles was discussed (see
here). More about the design of a transformer and
the selection of care material can be found here.
As the transformer ratio is rather large the
choise of the right material to make a transformer for a small loop antenna can
be more critical than for a short vertical monopole.
C-C network
A
simple C-C network can be used for impedance transformation :
[35a]
and
[35b]
(L = antenna inductance in
H, C1 ... C2 = capacitances in F, RA antenna
resistance in
,
RTX = transmitter impedance in
and f = frequency in
Hz)
For a frequency of 136kHz C1 and C2 can be
calculated as :
[35c]
and
[35d]
(L = antenna inductance in
µH, C1 ... C2 = capacitances in nF and
RA antenna resistance in
and RTX =
transmitter impedance in
)
Example :
We want to match a small
loop with an inductance of 70µH and a resistance of 0.65
to our 50
transmitter. Based
on formula 35 C1 = 204nF and C2 = 21.6nF.
One should take care to choose the right capacitors. Most ceramic and
metalfilm capacitors will have too much loss on LF. Capacitors that can be used
are :
- silver-mica : very good and available upto 47nF/500V, but expensive
- polystyrene : good, but values larger than 1nF hard to find at higher
voltages
- MKC : good and up to 100nF/1kV, but not so easy to find
- polypropylene : good, cheap and available up to 100nF/500V
Be aware that - using high power - currents of several 10A can flow
through the capacitors. Eventually it can be usefull to use several capacitors
in parallel.
back to top of this page
5.6.3. Bandwidth
considerations
back to top of this page
6. Other
transmitting antennas
under
construction
back to top of this page
7. Antennas for
reception
under
construction
back to top of this page
8.
Software
- Online calculation of
single-layer coil inductance and Q (by IK3OTD)
- Online variometer
design (by IK3OTD)
- download RJELOOP1 :
Transceiving, single-turn, magloop antennas of various regular shapes (by
G4FGQ)
- download RJELOOP2 :
Transceiving, single-turn, magloop antennas of rectangular shape (by G4FGQ)
- download RJELOOP3 :
Receiving, multi-turn, square, loop antennas, ELF to HF (by G4FGQ)
- download VERTLOAD :
Base-fed vertical antennas, coil-loaded at any height, with coil design (by
G4FGQ)
- download RADIOETH :
DC, power freq & RF characteristics of a shallow-buried ground wire (by
G4FGQ)
- download EARTHRES :
Ground electrodes, rods, wires, plates, mats. Soil Resistance measurements (by
G4FGQ)
- download TANT136 : LW
& MW performance of small T-antennas above a system of ground radials (by
G4FGQ)
- download SOILSKIN :
Enter soil characteristics. Display a table of skin depth vs frequency (by
G4FGQ)
- download SOLNOID2 :
Design of cylindrical, single-layer, air-core coils of all proportions (by
G4FGQ)
- download MAGLOOP4 :
Performance of regular-shaped magloops versus height and type of ground (by
G4FGQ)
- download MIDLOAD :
Design and performance of very short, centre loaded dipoles above lossy ground
(by G4FGQ)
- download LOADCOIL :
Design of short vertical antenna + loading coil. Slide coil up/down for max
effiency (by G4FGQ)
- download GRNDWAV3 :
Groundwave propagation and field strength vs pathlength, terrain and frequency
(by G4FGQ)
- webpage COIL02 :
Electrical Inductance Calculator (by Steve Moshier)
back to top of this page
9.
Appendices
9.1 High power
applications of toroidal core coils
9.1.1. About toroidal cores
Using toroidal cores one can make coils that are compact and have little stray
field. These properties make toroids popular for the design of transformers and
for inductances in impedance matching and filter circuits. The inductance (L)
of a toroidal core coil can easily be calculated based on the material specific
inductance factor (AL) :
[36]
(L in nH, AL in
nH/turn2, N = number of turns)
Sometimes AL is expressed in µH
/ 100turns, the conversion to nH/turn2 is : 1 µH / 100 turns =
0.1 nH/turn2.
The power that can be handled by a toroidal core
is limited by 2 factors : saturation of the core material and temperature rise
of the core.
Material saturation
At low currents the
magnetic flux in a core will be proportional to the current through the coil
and the inductance will be constant (independent of current or flux). But if
the current exceeds a certain value the magnetic flux will no longer increase
proportional to the current and the inducance will drop. This is called
saturation and it will cause a distortion of the signal.
To make things
worse, the inductance drop will also cause the reactance to drop and thus the
current will increase. This will cause a further inductance drop etc... , a
nice example of a chain reaction.
So, at any time saturation of the core
material should be avoided.
The peak flux density in the core is given by
:
[37]
(Bpk = flux in T, ERMS = applied voltage in
VRMS, A = effective cross-sectional area in m2, N =
number of turns and f = frequency in Hz)
The flux should not exceed 0.2 to 0.25T for ferrite
materials and 1 to 1.2T for iron powder.
Temperature rise
The temperature rise of
the core is caused by permeability losses in the core and the copper losses in
the wire :
[38]
(T = temperature rise in °C or K, Pdis = total power dissipation
in mW and K = core surface area in cm2)
The above formula is an approximation for a core in
free standing air. Temperature rise can be decreased if a forced air cooling
(fan) is used.
Core material : iron powder versus ferrite
For typical high power RF applications ferrite cores will be limited by
saturation while iron powder cores will be limited by temperature rise. Further
a ferrite core will have a 100-200 times higher AL compared to an
iron powder core of the same dimensions (and thus needs 10 to 15 times less
turns for the same inductance).
In general can be said that, at LF, ferrite
is best suited for wideband applications such as transformers and baluns while
iron powder is prefered for high-Q applications such as resonant circuits,
low-pass filters and L-C impedance matching circuits. In principle one could
use iron powder also for wideband applications, but the number of turns needed
is often impracticable high.
9.1.2. Designing a ferrite cored
transformer (by Jim Moritz, M0BMU)
Some maths is needed to design a
ferrite cored transformer.
The first stage is to chose a number of turns
that can withstand the applied voltage without saturating the core. You need to
choose the number or turns (N) so that peak flux density (Bpk) is
less than about 0.2 to 0.25T for most power ferrites (formula 37).
You also need to ensure the inductance
of the transformer is high enough, usually so that the reactance is at least 5
times the impedance level :
[39]
(AL = the
material specific inductance factor, usually in nH/turn2, L =
inductance in the same units as AL, N = number of turns,
XL = reactance in Ohm and f = frequency in Hz)
If AL is not known, it can be calculated from :
[40]
(AL in
nH/turn2, µ0 = permeability of free space (4*
*10-7),
µE = effective permeability (usually about 2000 for power
ferrites), Leff = effective magnetic path length in m and
Aeff = effective cross-sectional area in m2)
Or you could wind some turns on the core and measure the inductance.
The parameters µE, Leff and Aeff have to
be retrieved from the manufacturers data sheet, eventually Leff and
Aeff can be determined from the core dimensions, if you can accept
an error of a few %.
Example :
Assume we have a core
with an inner diameter of 30mm, an outer diameter of 46mm and a height of
12mm.
The average diameter is 38mm [(30+46)/2], so Leff =
*38 = 119.4mm.
The
inner diameter is 15mm [30/2] and the outer diameter is 23mm [46/2],
Aeff = (outer diameter - inner diameter) * height = 96mm2
[(23-15)*12]. Due to the rounded egdes Aeff will be slightly less,
but in most cases the error is acceptable.
There is also core losses to be taken into account and the temperature
rise these produce, but this is more complicated to work out and requires the
manufacturer's data. And for ferrite cores generally saturation will occur
before the critical temerature rise is reached. Using a generously sized core
to start with usually means the transformer will run cool. You should choose
wire sizes that fill up the available winding space, to minimise resistive
losses.
As a few examples of LF TX power applications for ferrite cores, I
have used :
- A 3C8 material EC59 transformer core for an antenna matching
transformer up to 1.2kW on 136/73k
- A Neosid F44 material EE42 transformer core (available from RS
components) for a PA output transformer at up to 600W on 136k
- A 3C85 Material ETD49 (from Farnell Electronic Components) core for a
1kW PA output transformer on 73k
All these components run at a comfortable temperatures without
additional cooling at the given power level.
The 3C8, 3C80, 3C85, 3C90
materials are manganese-zinc ferrite of a type that seems to be ubiquitous for
switch-mode designs. The Neosid F44 and Siemens N27, N67, and N87 grades are
very similar - the higher numbers represent newer materials with slightly
improved performance, but the differences are not great. Most ferrite
manufacturers seem to make something very similar. These all seem to work well
as transformers at 136k. There are newer materials around like 3F3, but the
availability seems to be very limited.
In general, transformers require
maximum inductance with minimum turns, so no air gap is used. For maximum
energy storage with minimum losses in a resonant application, or for a choke
with a large DC current component, an air gap is required. Power types of
ferrites can be used with an air-gap to produce inductors for resonant or
filtering applications, but it seems to be difficult to get a Q of more than
about 100 or so; The micrometals -2 mix iron dust cores seem to be better in
this application. The iron dust cores made for SMPSU applications also seem to
have relatively high losses at 136k. For small-signal applications, the
nickel-zinc HF ferrites like 4C65 seem to be capable of very high Q, but are
not particularly suited to LF power applications, and are not very widely
available. They usually have much lower permeability, 100 or so. The
manganese-zinc ferrite, gapped pot cores with tuning slugs (eg RM series) seem
to give a Q between 100 - 200 at LF for low-level filter applications.
The
ferrites designed for RFI supression seem to have high losses over a wide
frequency range (which is what they are designed for , of course), so not very
good for signal processing. The very high permeability manganese zinc ferrites
for signal transformers tend also to have higher losses, and need to operate at
lower Bpk.
Surplus ferrites can sometimes be used. for example,
line-output transformer cores in video monitors are usually a 3C8-type
material. But be careful to clean the mating surfaces so they are a close fit,
and remove any plastic film spacers, etc. 3C8 and 3C85 etc. toroids usually
have a red or pink coating. 4C65 has a purple coating. The rough surface of low
frequency manganese-zinc ferrites usually has a fairly shiny, glazed
appearance, whereas nickel-zinc ferrite has a more matt grey appearance.
Ferrites are very hard and brittle, while iron dust materials can easily be cut
with a file. There are also various powdered metal cores, which look metallic
when the coating is removed, but these do not seem to work well at 136k.
9.1.3. Designing an iron powder cored
coil
Where for ferrite material the saturation will be the limiting
factor, for iron powder it will be the temperature rise in the core. This
temperature rise is caused by the power dissipation, as given in formula 38. The core loss is determinded by the material,
the frequency and the flux density. For most iron powder materials the core
loss will rise more or less proportional with the frequency and with the square
of the flux density.
To give one example, for the popular '#2' material
(red) that is available from several manufacturers :
[41]
(Ploss core loss
in mW/cm3, f = frequency in Hz and B = flux density in T)
Since the surface area of a toroid core is approximately proportional to
the square of the core diameter, while the volume is proportional to the cube
of the diameter, a smaller diameter core can dissipate more power per volume
unit. As a result it can be usefull (and cost efficient) to put 2 smaller coils
in series instead of one large coil.
back to top of this page
10.
Acknowledgements
My thanks go to :
back to top of this page